ENSO是全球最典型的季节-年际气候预测信号来源,其演变不仅受低频海气耦合过程影响,也受高频大气信号的跨尺度作用,但对这一尺度间相互作用对ENSO预测的影响,还缺乏系统性认识。我校青年教师伍继业,国家特聘专家罗京佳教授以及日本海洋研究开发机构(JAMSTEC)的Toshio Yamagata院士,应用实验室(APL)主任Swadhin K. Behera和研究员Takeshi Doi合作,在《Journal of Climate》杂志发表题为《Revisiting the role of initial atmospheric signals in the ENSO prediction》的论文,论文基于全球海气耦合模式SINTEX-F设计了两组数值敏感性回报试验,探究了对大气高频内部信号的有效同化和预测对ENSO季节-年际预测的影响,技巧对比分析发现了加入大气资料同化之后,尽管初始状态时ENSO关联的多尺度海气信号能被更好地复现,但这一改善无法持续到更长时间尺度的ENSO预测上。进一步基于Bjerknes稳定性指数和海洋混合层热收支诊断表明了模式对海气反馈过程的一系列偏差,限制了模式利用改善的初始场进行更好的预测,指出了初始热带大气次季节信号的贡献和局限性,阐明了多个海气反馈过程对次季节信号影响季节-年际预测的重要性。该项目由国家自然科学基金重点项目“ENSO和印度洋偶极子的季节-年际可预测性及多时空尺度信号的影响(42030605)”资助。

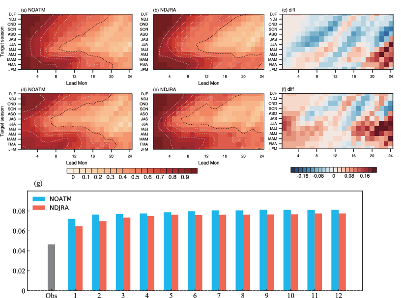
图1 两组回报试验提前1-24个月对不同月份(a, b)Niño 3.4指数和(d, e)D20aEWS预测ACC。NDJRA和NOATM试验提前1-24个月对不同月份(c)Niño 3.4指数和(f)D20aEWS预测ACC之差。(g)观测和两组回报试验预测第1-12个月中Niño 3.4指数向D20aEWS的回归系数。

图2观测和NOATM、NDJRA试验提前1-12个月预测的BJ指数分项(单位:yr-1):(a)动力衰减项、(b)热力衰减项、(c)纬向平流反馈项、(d)Ekman反馈项、(e)温跃层反馈项和(f)总的BJ指数(单位:yr-1)。
文章来源:https://journals.ametsoc.org/view/journals/clim/37/22/JCLI-D-23-0702.1.xml
Wu J, Luo J J*, Doi T, et al. Revisiting the role of atmospheric initial signals in predicting ENSO[J]. Journal of Climate, 2024, 37(22): 5883-5907