热带大气季节内振荡对印度洋偶极子预测的影响
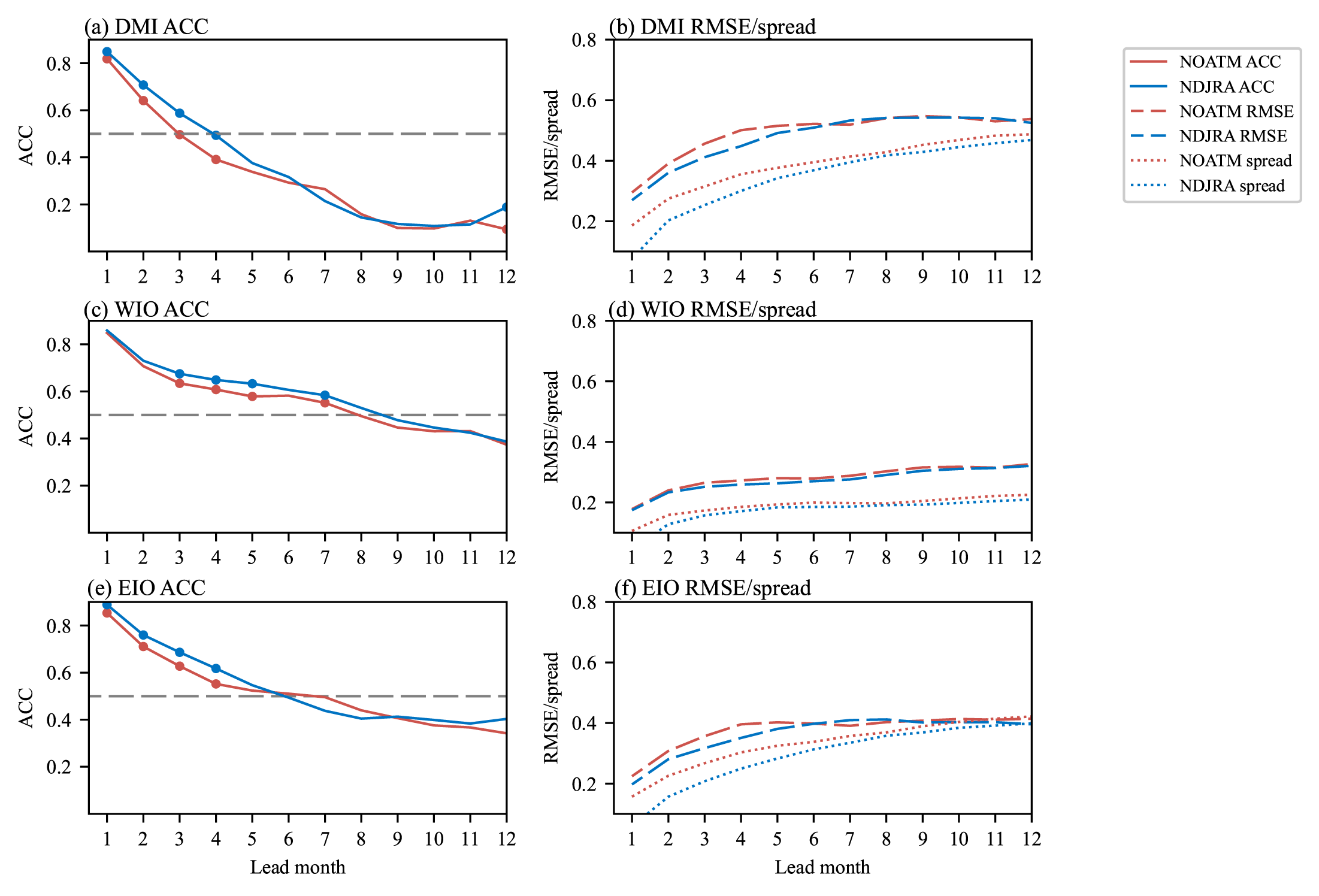
印度洋偶极子是热带印度洋最重要的海气耦合模态之一,但由于大气高频扰动与海气耦合过程之间复杂的跨尺度相互作用,IOD的可预测性长期以来仍面临较大挑战。我校硕士生姜晶、青年教师伍继业、国家特聘专家罗京佳教授在《Journal of Climate》上发表题为《Understanding the Influence of the Tropical Intraseasonal Oscillation in Predicting the Indian Ocean Dipole》的论文,系统揭示了热带大气次季节振荡对印度洋偶极子演变及其预测的关键影响,并评估了引入大气资料同化对提高IOD预测技巧的潜力与局限性。论文基于SINTEX-F耦合模式设计了两组数值敏感性回报试验,探究了对大气高频内部信号的有效同化和预测对印度洋偶极子的影响。加入大气资料同化后印度洋偶极子在提前1-6个月内的预测技巧得到了提高。这种改善可能与更真实的海洋次表层初始条件和第一个月热带次季节振荡预测技巧的提高有关。夏季次季节西风事件激发向下的开尔文波,可以在热带东印度洋的地下积累热量利于秋季印度洋偶极子事件的峰值。然而,在预测不同的印度洋偶极子事件时,大气资料同化的效果各不相同。例如,它改善了对1997年正印度洋偶极子事件的预测,而降低了对2006年极端正印度洋偶极子事件的预测效果,这归因于热带印度洋季节内东风/西风和海温异常之间的不对称关系。我们的结果强调了大气高频信号在印度洋偶极子预测中的重要性。该项目由国家自然科学基金重点项目“ENSO和印度洋偶极子的季节-年际可预测性及多时空尺度信号的影响(42030605)”资助。

图1 两组历史回报试验对DMI、WIO和EIO指数的预测技巧(ACC、RMSE与Spread),折线图上的点表示两组试验的差异在95%置信水平上显著
文章来源:Jiang J, Wu J Y, Luo J J. 2025. Understanding the influence of the tropical intraseasonal oscillation in predicting the Indian Ocean Dipole. Journal of Climate, 38(3): 645–662. https://doi.org/10.1175/JCLI-D-24-0149.1.