基于NUIST-CFS1.1的MJO可预测性和预测技巧研究
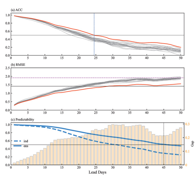
MJO是全球次季节至季节(S2S)尺度可预报性的重要来源,但其预测仍面临巨大挑战。我校博士伍继业,国家特聘专家罗京佳教授以及日本海洋研究开发机构(JAMSTEC)的Toshio Yamagata院士,Takeshi Doi最新的研究基于气海耦合模式和广泛使用的松弛逼近(nudging)方法,本研究探索了适宜的初始化和集合方案,旨在改进MJO预测。结果表明,采用扰动大气松弛系数的集合策略有助于产生充足的集合离散度,从而提高了预报技巧,尤其是针对弱MJO个例的预报。最终,建立了一个包含18个成员的次季节集合预报系统,命名为NUIST-CFS1.1。技巧评估表明,NUIST-CFS1.1能够将MJO的有效预报时效延长至24天,这已达到世界平均水平,但距离估算的潜在可预报性(约45天)仍有较大差距(图1)。

图 1NUIST-CFS1.1单个成员(黑色虚线)和集合平均(红色实线)对1983-2019年北半球冬季RMM指数预测的(a)BACC和(b)BRMSE。(a)和(b)中黑色横线分别表示BACC=0.5,BRMSE=。(b)中粉色虚横线表示基于自由耦合模拟试验(FCE)计算的模拟RMM指数和观测的BRMSE。(c)基于NUIST-CFS1.1中18成员估计的单个成员(蓝色虚线)和集合预测(蓝色实线)MJO可预测性BACC(BACC_P)曲线。柱状为BACC_P和实际预测BACC之差。
较长预报时效上的技巧受限对应着传播偏慢、强度偏弱的预报误差,这是由初始误差和模式自身缺陷共同导致的。后者与模式对MJO相关物理过程的刻画失真有关。模式低估了增强对流区的非绝热加热(主要由潜热释放贡献),且未能重现MJO结构内的对流抑制,这两者共同作用削弱了开尔文波和罗斯贝波。这导致水平风场偏弱,进而减少了MJO对流两侧的水平水汽平流。此外,被低估的开尔文波导致行星边界层(PBL)辐合不足,从而使得对MJO对流前方的边界层预湿过程模拟效果不佳(图2)。值得注意的是,常见的“干偏差”在本模式中并不存在,且水平水汽梯度的偏差可能对MJO传播的影响较小。未来亟需进一步改进涉及积云和边界层过程的模式物理方案。

图 2 基于(a)观测和(b)50年FCE数据的TEIO区域平均的20-100天带通滤波OLR距平Lag 0天回归的20-100天带通滤波赤道(10°N-10°S)平均比湿趋势(填色,单位:10-10 kg·kg-1·s-1),蓝色和红色虚线框分别表示MJO深对流的西侧(10°N-10°S, 40°-75°E)和东侧(10°N-10°S, 110°-150°E)区域,每张子图下面附着的为Lag 0天回归的20-100天赤道(10°N-10°S)平均的OLR距平(蓝线,单位:W·m-2)和850-400 hPa垂直平均比湿距平(红线,单位:g·kg-1)。基于(c)观测和(d)FCE数据的Lag 0天回归的对流层中层(850-400 hPa)平均水汽收支,蓝、红色柱状图分别表示对流西、东侧区域平均。
论文信息:
Wu J, Li Y, Luo J J, et al. Prediction and predictability of boreal winter MJO using a multi-member subseasonal to seasonal forecast system of NUIST (NUIST CFS 1.1)[J]. Climate Dynamics, 2024, 62(5): 3003-3026. https://link.springer.com/article/10.1007/s00382-023-07047-4